Syllabus
Office hours: MW 1--3, TR 1--5 at LBV 321; email: david.milovich@tamiu.edu
Textbook
Old Exams
Spring 2017 course materials
| Day | Readings | Topics | Photos | Audio | Other | Day's HW due on Day | Tested on Day |
| 1 | 2.1 | introduction; vectors | zip | mp3 | 7 | 18 | |
| 2 | 2.1 | plane vectors | zip | mp3 | 7 | 18 | |
| 3 | 2.1-2 | unit vectors; 3D vectors | zip | mp3 | 7 | 18 | |
| 4 | 2.3 | dot products | zip | mp3 | 7 | 18 | |
| 5 | 2.3 | projections | zip | mp3 | 11 | 18 | |
| 6 | 2.4 | cross product | zip | mp3 | 11 | 18 | |
| 7 | 2.4 | determinants, areas, volumes | zip | mp3 | 11 | 18 | |
| 8 | 2.5 | equations for lines | zip | mp3 | 11 | 18 | |
| 9 | 2.5 | equations for planes | zip | mp3 | solutions 1-4 (zip, pdf) | 15 | 29 |
| 10 | 2.5 | distances to lines, planes | zip | mp3 | 15 | 29 | |
| 11 | 2.7 | cylindrical coordinates | zip | mp3 | 15 | 29 | |
| 12 | 2.7 | spherical coordinates | zip | mp3 | solutions 5-8 (zip, pdf) | 15 | 29 |
| 13 | 3.1 | 3D parametric curves | zip | mp3 | WolframAlpha | 21 | 29 |
| 14 | 3.2-3 | unit tangent vector; arc length | zip | mp3 | 21 | 29 | |
| 15 | 3.3 | curvature; osculating circle | zip | mp3 | 3D osculating circle | 29 | |
| 16 | 3.3 | curvature; osculating circle | zip | mp3 | 2D osculating circle | 21 | 29 |
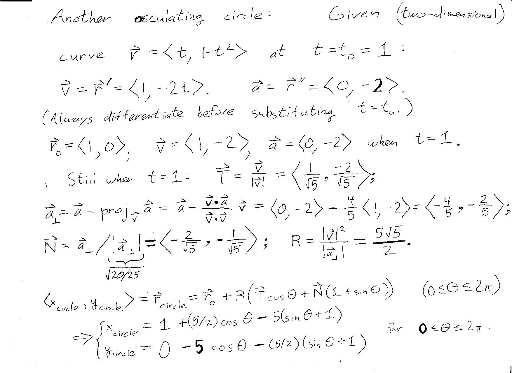
| 17 | 3.4 | components of acceleration | zip | mp3 | osculating circle computation (jpeg) |
21 | 29 |
| 19 | 4.1 | functions of several variables | zip | mp3 | hill,
bowl,
saddle,
??? solutions 9-12 (zip, pdf) |
26 | 40 |
| 20 | 4.2 | 2D limits | zip | mp3 |
x2y/(x^2+y^2) static plot x2y/(x^2+y^2) table of values (xlsx) 2xy/(x2+y2) interactive plot |
26 | 40 |
| 21 | 4.2 | 2D continuity | zip | mp3 | 26 | 40 | |
| 22 | 4.3 | partial derivatives | zip | mp3 | solutions 13-17 (zip, pdf) | 26 | 40 |
| 23 | 4.4 | differentiability | zip | mp3 | interactive plots: differentiability; non-differentiability |
26 | 40 |
| 24 | 4.5 | chain rule | zip | mp3 | 40 | ||
| 25 | 4.5 | chain rule | zip | mp3 | 32 | 40 | |
| 26 | 4.6 | directional derivatives | zip | mp3 | 32 | 40 | |
| 27 | 4.6 | gradients | zip | mp3 | Q & A for 9-17 (zip) | 32 | 40 |
| 28 | 4.7 | local extrema | zip | mp3 | 32 | 40 | |
| 30 | 4.7 | Lagrange multipliers | zip | mp3 | HW30 (txt) | 37 | 49 |
| 31 | 5.1 | double integrals introduction | zip | mp3 | integral from table (xlsx) solutions 19-23 (zip, pdf) |
||
| 32 | 5.1 | double integrals over rectangles | zip | mp3 | 37 | 49 | |
| 33 | 5.2 | double integrals over other regions | zip | mp3 | 37 | 49 | |
| 34 | 5.2 | double integrals over other regions | zip | mp3 | 37 | 49 | |
| 35 | 5.3 | polar double integrals | zip | mp3 | 43 | 49 | |
| 36 | 5.4 | triple integrals over boxes | zip | mp3 | 43 | 49 | |
| 37 | 5.4 | triple integrals over other regions | zip | mp3 | 43 | 49 | |
| 38 | 5.5 | cylindrical triple integrals | zip | mp3 | solutions 25-28 (pdf) | 43 | 49 |
| 39 | 5.5 | spherical triple integrals | zip | mp3 | Q & A for 19-28 (zip) | 43 | 49 |
| 41 | 5.6 | more physics applications | zip | mp3 | 47 | ||
| 42 | 5.7 | 2D coordinate transformations | zip | mp3 | 47 | ||
| 43 | 5.7 | 2D coordinate transformations | zip | mp3 | solutions 30-34 (pdf) | ||
| 44 | 6.1 | vector fields introduction | zip | mp3 | solutions 35-39 (pdf) a 2D vector field plot some interactive 3D plots |
47 | |
| 45 | 6.2 | line integrals | zip | mp3 | 54 | ||
| 46 | 6.3 | Fund. Thm. of line integrals | zip | mp3 | |||
| 47 | 6.3 | potential functions | zip | mp3 | Q & A for 30-39 (zip) | 54 | |
| 48 | 6.4 | Green's Theorem | zip | mp3 | 54 | ||
| 50 | 6.4 | Green's Theorem | zip | mp3 | 54 | ||
| 51 | 6.5 | divergence and curl | zip | mp3 | |||
| 52 | 6.6 | parametric surface area | zip | Parametric surface plot solutions 41-42 (pdf) |
58 | ||
| 53/54 | 6.6 | flux through a surface | zip | flux visualization (scroll down) | 58 | ||
| 55 | 6.7 | Stokes' Theorem | zip | mp3 | HW55 (txt) | 58 | |
| 56 | 6.7 | Stokes' Theorem | zip | mp3 | |||
| 57 | 6.8 | Divergence Theorem | zip | mp3 | |||
| 58 | 6.8 | Divergence Theorem | zip | mp3 | solutions 45-55 (pdf) final Q & A (zip) |
||
| Final Exam (Dec. 8, 11:30-2:30) |