Syllabus (includes schedule).
Office hours: MTWR1:45--3:15, LBV 321; email: david.milovich@tamiu.edu
Textbook.
Fall 2016 course materials (includes old exams).
SI sessions: M1:30--2:30 and W2:30--3:30, CWT 205; SI email: jacinto_delacruzh1@dusty.tamiu.edu
| Day | Readings | Topics | Photos | Audio | Other | Day's HW due on Day | Tested on Day |
| 1 | 2.1 | plane vectors | zip | 7 | 15 | ||
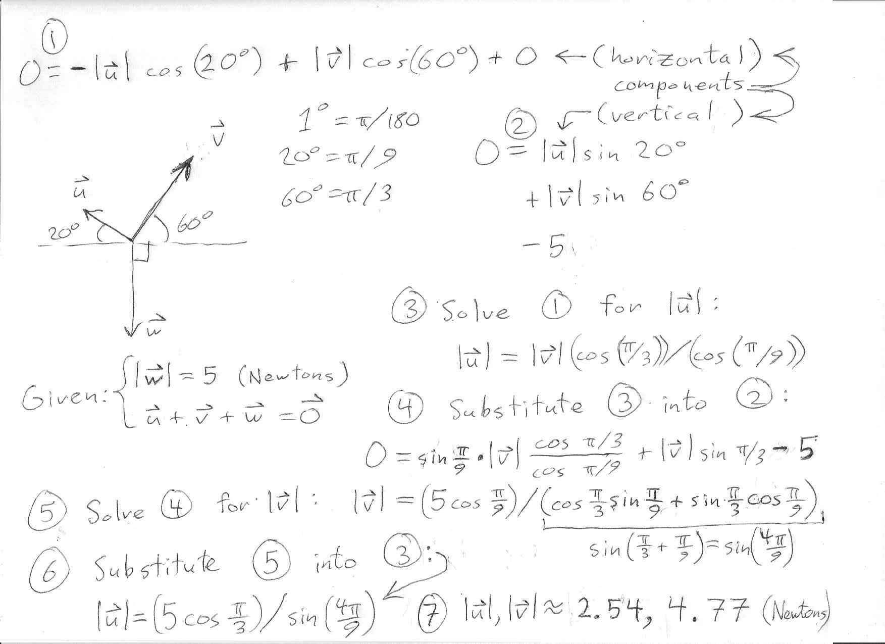
| 2 | 2.1 | plane vectors | zip | jpeg (force balance solution) | 7 | 15 | |
| 3 | 2.1-2 | unit vectors; 3D sketches | zip | 7 | 15 | ||
| 4 | 2.2 | more on space vectors | zip | 7 | 15 | ||
| 5 | 2.3 | dot products | zip | 11 | 15 | ||
| 6 | 2.3 | projections | zip | 11 | 15 | ||
| 7 | 2.4 | cross products | zip | mp3 | parallelepiped | 11 | 15 |
| 8 | 2.5 | equations for lines | zip | mp3 | 11 | 15 | |
| 9 | 2.5 | equations for planes | zip | mp3 | 18 | 25 | |
| 10 | 2.6 | quadric surfaces | zip | mp3 | 18 | 25 | |
| 11 | 2.7 | cylindrical coordinates | zip | mp3 | 18 | 25 | |
| 12 | 2.7 | spherical coordinates | zip | mp3 | Greek alphabet | 18 | 25 |
| 13 | 3.1,2 | space curves | zip | mp3 | zip (solutions 1--8) | 18 | 25 |
| 14 | 3.2,3 | unit tangent; arc length | zip | mp3 | 21 | 25 | |
| 16 | 3.3 | curvature | zip | mp3 | 21 | 25 | |
| 17 | 3.3 | unit normal; osculating circle |
zip | mp3 | helix's osculating circle zip (parabola's osculating circles) zip (curvature proofs) |
21 | 25 |
| 18 | 3.4 | acceleration | zip | mp3 | jpeg (another osculating circle) | 21 | 25 |
| 19 | 4.1 | level curves; vertical traces | zip | mp3 | 28 | 36 | |
| 20 | 4.2 | discontinuity | zip | mp3 | 28 | 36 | |
| 21 | 4.2 | continuity | zip | mp3 | xlsx (f(x,y) table) | 28 | 36 |
| 22 | 4.3 | partial derivatives | zip | mp3 | pdf (solutions 9-18) | 28 | 36 |
| 23 | 4.4 | differentiability | zip | mp3 | tangent plane counterexamples |
28 | 36 |
| 24 | 4.5 | chain rule | zip | mp3 | 36 | ||
| 26 | 4.5 | chain rule | zip | mp3 | 32 | 36 | |
| 27 | 4.6 | directional derivatives | zip | mp3 | 32 | 36 | |
| 28 | 4.6 | gradients | zip | mp3 | xlsx (gradient ascent) | 32 | 36 |
| 29 | 4.7 | local extrema | zip | mp3 | homework hint | 32 | 36 |
| 30 | 4.8 | Lagrange multipliers | zip | mp3 | 39 | 53 | |
| 31 | 5.1 | numerical double integrals | zip | mp3 | xlsx (midpoint rule examples) | 39 | 53 |
| 32 | 5.1 | rectangular double integrals | zip | mp3 | 39 | 53 | |
| 33 | 5.2 | non-rectangular double integrals | zip | mp3 | 39 | 53 | |
| 34 | 5.2 | non-rectangular double integrals | zip | mp3 | pdf (solutions 19-29) | 39 | 53 |
| 35 | 5.3 | polar double integrals | zip | mp3 | 43 | 53 | |
| 37 | 5.4 | triple integrals over boxes | zip | mp3 | 43 | 53 | |
| 38 | 5.4 | general iterated triple integrals | zip | mp3 | 43 | 53 | |
| 39 | 5.5 | cylindrical triple integrals | zip | mp3 | 43 | 53 | |
| 40 | 5.5 | spherical triple integrals | zip | mp3 | special angles | 43 | 53 |
| 41 | 5.6 | center of mass; moment of inertia | zip | mp3 | pdf (moment of inertia for any axis) | 48 | 53 |
| 42 | 5.7 | 2D coordinate transformations | zip | mp3 | 48 | 53 | |
| 43 | 5.7 | 3D coordinate transformations | zip | mp3 | zip (solutions 30-34) | 48 | 53 |
| 44 | 6.1 | 2D vector fields | zip | mp3 | 48 | 53 | |
| 45 | 6.1 | 3D vector fields | zip | mp3 | SageMathCloud (free)
vector field plotting commands |
48 | 53 |
| 46 | 6.2 | scalar line integrals | zip | mp3 | 55 | ||
| 47 | 6.2 | vector line integrals | zip | mp3 | 55 | ||
| 48 | 6.3 | Fund. Thm. of line integrals | zip | mp3 | |||
| 49 | 6.3 | Potential functions | zip | mp3 | zip (solutions 35-40) | 55 | |
| 50 | 6.4 | Green's Theorem | zip | mp3 | pdf (topological terminology) | 55 | |
| 51 | 6.4 | Green's Theorem | zip | mp3 | 59 | ||
| 52 | 6.5 | Divergence and curl | zip | mp3 | 59 | ||
| 54 | 6.6 | Parametric surfaces | zip | mp3 | Mathematically defined Easter eggs | 59 | |
| 55 | 6.6 | flux integrals | zip | mp3 | flux visualization | 59 | |
| 56 | 6.7 | Stokes' Theorem | zip | mp3 | 59 | ||
| 57 | 6.8 | Divergence Theorem | zip | mp3 | |||
| 58 | review | zip | zip (solutions 46-50) | ||||
| 59 | review | zip | zip (solutions 51-56) |